您的當前位置:首頁 > 產品知識 > 更多產品知識 > 顆粒在介質中的干涉沉降——均勻粒群的干涉沉降
作者:紅星機器 發布時間:2018-10-11 15:48:41
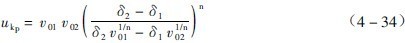
由密度、粒度和形狀相同或相近的顆粒組成的粒群,它們在介質中沉降時,由相互摩擦、碰撞等原因產生的機械阻力,主要取決于粒群在介質中的容積濃度或松散度。已經提出許多個計算均勻粒群干涉沉降速度的公式,其中,有代表性和應用較廣的是里亞申科公式,即
![]()
式中 vct和v0———顆粒的干涉沉降和自由沉降速度,m/s;
———粒群的容積濃度和松散度,小數;
n———指數,與顆粒的粒度和形狀有關(見表1和2)。
按摩爾朗德(Moreland)等的研究,n值還與雷諾數有關,其關系示于圖1中。雷諾數按
計,v0為自由沉降末速度。
表1 n值與粒度的關系(形狀為多角形)

表2 n值與形狀的關系(顆粒粒度1mm)

公式(4-26)適于粒群容積濃度不大,較大和較小粒度之比值小于1.5的情況。
另一類vct的方法是把沉降著的粒群看作是一種過濾介質,在其中,自下而上通過液流。所提公式適于溶積濃度較大,或松散度較小的情況。公式如下:


群將發生按性質不同的分層。其有下述幾種情況:

上述情況和臨界上升水速經試驗證實。但在解釋這些現象產生的原因上有不同的觀點。
里亞申科認為,懸浮體是按各粒群的相對密度分層的,相對密度大的粒群粒在下,相對密度小者在上層。按此觀點,得出
![]()

中國礦業學院和中南工業大學的學者作了研究,分別提出了稍有不同的臨界上升水速公式,下述公式與實測值較為接近,即
![]()
粒群懸浮體分層的事實和上述論點,對分級和重選過程中礦粒的松散分層有一定的實際意義。
本篇內容于 2018-10-11 15:48:41 已補充更新如果您想了解我們的產品,可以隨時撥打我公司的銷售熱線或點擊咨詢!![]()
相關設備
推薦閱讀
TOP169鄂破機價格及型號參數鄂破機
TOP257鄂破機一小時能產多少噸物料鄂破機
TOP3時產1000噸石料生產線設備有哪些?多少錢?石料生產線價格
TOP4140圓錐破時產多少石子圓錐破 圓錐破碎機
TOP5小型碎沙機多少錢一臺?碎石機
TOP6一套碎石機大概需要多少錢碎石機
TOP7生產雷蒙磨粉機(雷蒙磨)的廠家磨粉機
TOP869破碎機一小時處理多少立方石子?破碎機 69顎式破碎機
TOP91060顎破型號有哪些?什么價?顎破 顎式破碎機
TOP10每小時產200噸的石子破碎機多少錢一臺?破碎機
TOP11時產500噸石子生產線配置方案_廠家報價生產線
TOP12銷量較好的雷蒙磨粉機型號有哪些雷蒙磨粉機
換一換 ![]()
想讓資深工程師為您設計生產方案?想獲取全套設備優惠報價單?請留言,專業經理即刻開始為您一對一服務!(不用擔心信息泄露,我們將為客戶提供信息保密服務!)
來廠考察即可獲取資深工程師為您設計方案
多機型現貨可選,簽訂合同,2天內發出
售后團隊親臨現場,指導設備安裝、試車,完成交付
跟蹤砂場運營情況,提供生產運營指導,保障砂場快速盈利
制砂機也稱打砂機,主要用于對石屑、鵝卵石、青石等物料的制砂生產,設備質量影響著客戶的投資高低、后期盈利,但設備價格的高低...
201809.11
查看詳情在礦石中晶形為菱面體,晶面常彎曲成馬鞍狀的通常是白云石,屬三方晶系的碳酸鹽礦物,多呈塊狀、粒狀集合體,一般來說大部分為白...
201809.11
查看詳情山東某石料廠,有一條日產四五百噸的破碎生產線,因機制砂需求增加,企業想在破碎生產線中加入制砂機,來對鵝卵石進行制砂生產,...
201809.10
查看詳情同時對砂石料相關部門嚴格執行環保、質量、安全等法規標準沒有放松,落后的砂石產能繼續退出,砂、石開采規范進一步完善,供給端...
201809.10
查看詳情花崗巖是一種火山爆發的熔巖,屬于酸性巖漿巖中的侵入巖,經磨練形成質地堅硬且耐磨性強石料,抗風化、吸水性低,色彩可保持百年...
201809.08
查看詳情俗話說:“工欲善其事,必先利其器”想要把砂石料處理好,怎能沒有好的工具,特別是近些年砂石料需求量增多,要求越來越嚴,配一...
201809.07
查看詳情河南紅星礦山機器有限公司 總部地址:鄭州市高新區梧桐街與紅松路交叉口中國高端礦機生產出口基地園區
工程師免費設計方案已有162位獲得心儀的方案
算一算 搭配一條合適的生產線需要多少錢?
點擊獲取報價